spss是一款功能强大的统计分析软件,spss聚类分析是一个将case分析的数据,虽然这不是一个严格的统计方法,但没有可以替代的,因此大家还是会使用spss进行聚类分析,那么下面小编就给大家带来spss聚类分析教程,spss19.0教程。
spss19.0官方中文版:http://www.cr173.com/soft/41992.html
1、依次点击:analyse--classify--hierarchical cluster,打开分层聚类对话框

2、在聚类分析对话框中,将聚类用到的变量都放到variables中

3、将地区变量放入case标签中,他的意思是每一个数据都用地区这个值来命名

4、点击plot按钮,打开对话框,设置要输出的图

5、在打开的对话框中,勾选dendrogram,然后点击continue按钮。这个dendrogram是层次聚类谱系图,最后我们还会分析这个图

6、点击method按钮,设置聚类的方法

7、通常我们用到的聚类方法是wards method,接着我们需要把变量转换成z分数,点击continue按钮

8、点击save按钮,填写希望保存的聚类类别数范围3--8,据此选项,spss将在数据编辑窗口中添加7个变量,分别标明聚类数位3--8类情况下各省市所属的类

9、设置输出的聚类类别数范围3--8,点击continue按钮

10、点击ok按钮,开始输出数据处理的结果

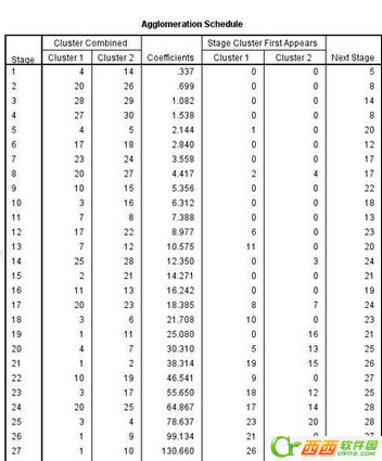
11、你看到的下面的这个表格叫做聚类过程表,其内容并不是经常被关注,因为大部分实际应用中,聚类的具体过程是被忽略的。但是聚类系数可以帮助我们判断将数据分为几类最合适,判断的方法是,相邻的两个数据变化的幅度显著大于前面的系数的变化范围,这时候分类在这里就是最好的

12、最后是层次聚类谱系图,从这个图中可看到聚类的过程,根据你的需求选择分类的组数

这就是小编给大家带来的spss聚类分析教程了,希望可以帮助到大家。


喜欢
顶
难过
囧
围观
无聊





